摘要:北京211大学录取线是指北京市内的211工程高校在招生录取时所设定的最低分数线。这一录取线在每年的高考期间备受关注,成为广大考生和家长们追逐的目标。它不仅代表着高等教育的门槛,更是...
北京211大学录取线是指北京市内的211工程高校在招生录取时所设定的最低分数线。这一录取线在每年的高考期间备受关注,成为广大考生和家长们追逐的目标。它不仅代表着高等教育的门槛,更是考生们努力学习的动力和希望。北京211大学录取线的设定,旨在选拔出优秀的学生,为国家培养人才,推动社会进步。考生们为了追求理想的大学教育,不断努力学习,提高自己的综合素质,争取超过录取线,进入心仪的大学。北京211大学录取线的存在,不仅是高等教育的一种选拔机制,更是社会进步的一种推动力量。
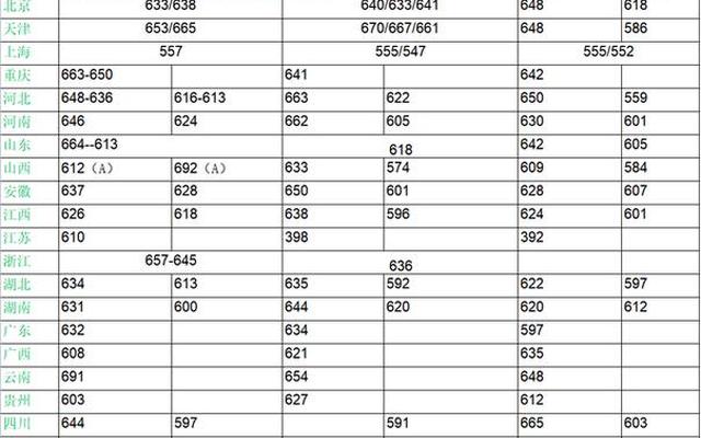
1、北京211大学录取线

北京211大学录取线是指北京市内的211工程高校在招生录取时所设定的最低分数线。这个录取线是根据高考考生的成绩和其他相关因素综合评定而来的,代表了学校对学生的录取要求和选拔标准。
北京作为中国的首都,拥有众多优秀的高等学府。其中,211工程高校是一批在全国范围内享有较高声誉的高校,也是中国重点支持和建设的高校。这些学校在教学、科研和人才培养方面具有较高水平,吸引了大量优秀的学生前来报考。
北京211大学录取线的设定是为了筛选出最优秀的学生。录取线通常会根据每年的考生情况和学校的需求进行调整。一般来说,录取线会根据考生的高考总分、各科成绩、文化课和综合素质评价等因素来确定。学校会根据录取线以上的分数进行录取,而录取线以下的考生则无法被录取。
录取线的设置旨在保证学校的教学质量和人才培养水平。高分数的录取线可以确保学校录取到优秀的学生,提高学校的整体实力。录取线的设定也是为了保证学生的学习负担和适应能力。学校希望录取到的学生能够适应学校的学习环境和教学要求,取得良好的学习成绩。
对于考生来说,了解北京211大学录取线的设定对于报考和备考都非常重要。考生可以根据录取线来评估自己的录取可能性,制定合理的备考计划。了解录取线的设定也可以帮助考生选择适合自己的学校和专业,提高录取的成功率。
北京211大学录取线的设定是一个公平公正的选拔机制。它不仅考虑学生的高考成绩,还综合考虑了学生的其他因素,如综合素质评价等。这样的选拔机制能够更好地发现和培养优秀的学生,为社会培养更多的人才。
北京211大学录取线的设定是为了选拔优秀的学生,保证学校的教学质量和人才培养水平。了解录取线的设定对于考生来说非常重要,可以帮助他们评估自己的录取可能性,制定合理的备考计划。录取线的设定也是一个公平公正的选拔机制,能够更好地发现和培养优秀的学生。
2、北京211大学一览

北京211大学一览
北京作为中国的首都,拥有众多优秀的高等教育机构。其中,211工程是中国实施的一项重要高等教育发展计划,旨在提升中国的高等教育水平。下面就让我们来一览北京的211大学。
北京大学是中国最古老、最具声望的高等学府之一,被誉为“中国的哈佛”。创办于1898年,北京大学是中国最早的现代国立大学之一,也是中国211工程的重点支持对象。学校在文理、法学、经济学、管理学、医学等领域均有较高的学术声誉。
清华大学是中国最著名的理工科大学之一,也是211工程的重要成果之一。清华大学创办于1911年,以培养工程师为主,近年来在信息科学、材料科学、能源科学等领域取得了世界级的研究成果。
中国人民大学是中国最早成立的以经济学为主的综合性大学之一,也是211工程的重点支持对象。中国人民大学的经济学、法学、社会学等学科享有较高的学术声誉,培养了众多官员和企业家。
北京航空航天大学是中国最早建立的航空航天专业高等学府之一,也是211工程的重要成果之一。该校在航空航天、机械工程、电子信息等领域具有较高的学术水平,为中国的航空航天事业做出了重要贡献。
北京理工大学是中国著名的理工科大学之一,也是211工程的重点支持对象。该校在信息科学、光电技术、材料科学等领域具有较高的学术声誉,培养了众多优秀的科学家和工程师。
除了以上几所大学,北京还有众多其他的211大学,如中国农业大学、北京师范大学、中央民族大学等。这些大学在各自的领域内都有较高的学术声誉和研究成果。
北京的211大学不仅在学术研究方面具有突出的地位,也为培养了大量的优秀人才,为中国的科技创新和社会发展做出了重要贡献。这些大学不仅拥有优质的师资力量和丰富的教育资源,还提供了良好的学术环境和科研平台,吸引了众多优秀的学生和研究人员。
北京的211大学是中国高等教育的重要组成部分,也是中国在科技创新和社会发展方面的重要力量。这些大学在学术研究、人才培养等方面取得了显著成就,为中国的高等教育事业树立了榜样,也为中国的发展注入了新的动力。
3、北京211大学都有哪几所

北京市是中国的首都,也是中国最重要的教育中心之一。在北京,有许多高等学府,其中包括211工程的大学。211工程是中国实施的一项高等教育发展计划,旨在提高中国大学的教育质量和研究水平。那么,北京有哪几所211大学呢?下面就为大家介绍一下。
北京大学是中国最著名的大学之一,也是211工程的重点支持对象。它成立于1898年,是中国现代高等教育的奠基者之一。北京大学在科学、人文、社会科学等领域都有卓越的研究成果和学术声誉,被公认为中国顶尖的综合性大学之一。
清华大学是中国另一所著名的大学,也是211工程的重点支持对象。清华大学成立于1911年,以工科为主,但也在其他学科领域有着卓越的表现。清华大学在工程、计算机科学、物理学等领域享有盛誉,并在国际上也有很高的声望。
中国人民大学是一所以社会科学为主的综合性大学,也是211工程的重点支持对象。中国人民大学成立于1949年,是中国中央委员会直属的高校。中国人民大学在经济学、法学、社会学等领域有着卓越的研究成果和学术影响力。
北京航空航天大学是中国著名的航空航天类大学,也是211工程的重点支持对象。北京航空航天大学成立于1952年,是中国航空航天领域的重要培养基地。该校在航空航天、机械工程、电子信息等领域有着卓越的研究实力和学术声誉。
北京理工大学是中国著名的工科大学之一,也是211工程的重点支持对象。北京理工大学成立于1940年,以工科为主,但也在其他学科领域有着优秀的表现。该校在信息技术、光电子学、材料科学等领域具有较强的研究实力和学术影响力。
还有中国农业大学、北京师范大学、对外经济贸易大学等都是北京的211大学。这些大学在各自的领域都有着卓越的研究成果和学术声誉,为中国的高等教育事业做出了重要贡献。
北京有许多优秀的大学,其中包括多所211大学。这些大学在各自的领域都有着卓越的研究实力和学术影响力,为中国的教育事业做出了重要贡献。希望这些大学能够继续发展壮大,为培养更多优秀人才做出更大的贡献。
总结全文,北京211大学录取线是指北京市内的211高校在招生录取时所设定的最低录取分数线。这一录取线的设定旨在保证高校的招生质量,选拔优秀的学生进入高等教育阶段。通过对北京211大学录取线的分析,我们可以看到,录取线的高低直接影响到考生的录取结果,也反映了高校对于学生综合素质的要求。在这个过程中,考生需要全面发展自己的学科知识和综合能力,提高自己的竞争力。学校也应该根据社会需求和教育发展的趋势,不断调整录取线的标准,确保录取的学生具备应有的学术水平和实践能力。北京211大学录取线的设定,是高等教育质量保障的一项重要措施,也是高校选拔人才的重要依据。希望通过这一制度的完善和优化,能够更好地促进高等教育的发展,培养更多优秀的人才,为社会进步和国家发展做出更大的贡献。